凸轮知识与新闻资讯
    什么是单凸轮和什么是双凸轮
    车凸轮内圆弧面工具
    数控铣进行分度凸轮的磨削
    弧面分度凸轮理论轮廓面的计算

   弧面凸轮加工方法研究
    
凸轮轴的楔横轧工艺

   弧面分度凸轮机构中蜗杆凸轮的数控加工
    凸轮轴承的安装技巧

   讨论下盘形凸轮四

   讨论下盘形凸轮三

   平面凸轮零件的数控铣削加工工艺

   

   

   

   

 
  深圳凸轮机械公司是一家精密间歇凸轮机械制造企业。公司致力于高速精密平面凸轮,平面凸轮加工,异型凸轮,移动凸轮,凸轮加工,分割器凸轮,槽轮,加工凸轮,槽轮加工,端面凸轮,沟槽凸轮,圆柱凸轮等产品的开发研究与生产,更针对特殊用途之机种,做最迅速而高适应性的设计与制造。凸轮间歇机构主要应用在制药机械、纸制品成型机械、印刷机械、食品包装机械、玻璃机械、陶瓷机械、电光源专用设备等多种领域需要把连续运动转化为步进动作的各种自动化机械上。该产品具有结构紧凑、噪音低、分度精度高、高速性能好、定位时自锁、传递扭矩大等显著优点。公司经过5年的发展,公司可以进行从原料-加工-热处理-磨削-检测-成品一条龙服务。目前已经拥有包括:凸轮专用加工中心机,CNC车床,数控磨床,高速雕刻机等数台。淬火磨削后凸轮经久耐用,光洁度高,质量达国内领先水平。我们拥有一批专业的技术人才,拥有一个坚强的合作团体。将一如既往的在品质上精益求精,永不止步。公司始终坚持"产品创名牌;顾客是上帝、服务要周全;管理要科学、”的方针,日益强化质量管理,建立有效质量的体系。信誉至上、物美价廉、互利互惠是我们的经营宗旨! 现已不断扩大CNC生产业务,可承接大型平面凸轮,凸轮加工,分割器凸轮,平面凸轮加工,异型凸轮,移动凸轮,槽轮,加工凸轮,槽轮加工,端面凸轮,沟槽凸轮,圆柱凸轮等产品业务。 希望通过我们的优质服务,在迈向更高的层次,承蒙各新、老客户的鼎力支持,为了能创造更多、更大、更好的价值。所以我们一定会更加努力!欢迎来图来样洽谈加工业务.
  本页面关键内容是:深圳凸轮加工,深圳凸轮,深圳加工凸轮,深圳凸轮加工厂,深圳机械凸轮.
 
机械凸轮 加工凸轮 分光机凸轮

 

弧面分度凸轮机构中蜗杆凸轮的数控加工

•  我们知道,弧面分度凸轮机构中蜗杆凸轮主要用作间歇分度,凸轮每转一周,带滚子的从动件转动一个角度并停歇一段时间。转动角度的大小随滚子的数目而不同。停歇时间与转动时间的比例也可以根据需要而定。

  我们知道,弧面分度凸轮机构中蜗杆凸轮主要用作间歇分度,凸轮每转一周,带滚子的从动件转动一个角度并停歇一段时间。转动角度的大小随滚子的数目而不同。停歇时间与转动时间的比例也可以根据需要而定。弧面分度凸轮机构中蜗杆凸轮主要用作间歇分度,凸轮每转一周,带滚子的从动件转动一个角度并停歇一段时间。转动角度的大小随滚子的数目而不同。停歇时间与转动时间的比例也可以根据需要而定。

图 1

  图 1 所示为用于两垂直交错轴问分度传动的弧而凸轮饥构。主动凸轮为轮廓呈突脊状的圆弧回转体,从动转盘上装有几个沿周向均匀分布的滚子。凸轮旋转时,其分度段轮廓推动滚子,使转盘分度转位 ; 当凸轮转到其停歇段轮廓时,转盘上的两个滚子跨夹征凸轮的圆环面突脊上,使转盘停止转动。图 1a 所示,定位圆环面位于凸轮中央,适用于高速、轻载和滚子数较少的场合。图 1b 所示,定位圆环面位于凸轮两端,适用于滚子数较多的中、低速和中、重载场合。弧面分度凸轮类似于具有变螺旋角的面蜗杆,转盘相当于具有滚子齿的蜗轮。所以弧面凸轮也有单头、多头和左旋、右旋之分。图中所示为单头右旋弧面凸轮。凸轮和转盘转动方向间的关系,可用类似蜗杆蜗轮传动的方法来判定。 4

1. 工艺分析

图 2

  弧面分度凸轮类似于具有变螺旋角的弧面蜗杆,转盘相当于具有滚子齿的蜗轮,这样凸轮轮廓的形成过程相当于绕凸轮轴线的自身回转和轴线的转动两个运动过程形成,加工中具有一定的难度。如果根据啮合原理来加工凸轮,只需两个回转运动即可完成加工,但需要专用设备。我们在这里讨论的是应用加工中心的技术来完成弧面分度凸轮机构的加工。图 2 是北京 MYCO 公司加工中心换刀机构中所用的凸轮 ( 此蜗杆凸轮在我厂卧式加工中心已批量加工,机床型号: ECOCUT 1XZ/TD2 ,生产厂家: DORRIES SCHARMANN( 德国 ) ,数控系统: SINUMERIK880) 。从图 2 分析,转盘中心与凸轮轴线间距离为 125mm ,凸轮弧面半径为 R47.5mm ,除螺旋槽外,加工件并不复杂。但考虑在加工螺旋槽时,凸轮需绕自身轴线旋转,且轴线还需要一个摆动,因此,考虑到工件的装夹和加工过程中与刀具的干涉等因素,工件需要留工艺加长,螺旋槽的加工,装夹采用一夹、一顶的方式。从图样中得知,螺旋槽宽度为 φ26+0.05+0.03mm ,分两次加工,粗加工时,选用 SECO 公司 φ25mm 的键槽铣刀 (n=400r/min , νf=30mm/min) ,精加工时,选用 SECO 公司 φ26H7 的键槽铣刀 (n=550r/min , νf=20mm/min) 。采用油冷却、润滑。工艺加长图见图 3 。

图 3

2. 工艺过程 4

  数控车床加工凸轮外形 ( 留工艺加长 )→ 加工中心铣螺旋槽 → 数控车床去掉工艺加长 → 插床加工键槽 → 铣床铣去不完整曲线轮廓 → 钳工修磨。

3. 数控程序的编制与加工

(1) 流程图如图 4 所示。

图 4

(2) 数学模型的建立由工作原理可知:凸轮带动转盘绕回转中心转动,而回转中心的位置是不变的。由加工示意图 ( 见图 5) 可看出: M 点相当于回转中心点 ( 且过刀具中心轴线 ) , MN 即为凸轮到转盘的中心距,工件装夹好后, L 是一定的,这样在任何时刻,由 MN0 构成的三角形都是不变的,我们可以确定 M 点的运动轨迹,从而进一步得到刀尖的运动轨迹来达到加工凸轮的目的。凸轮型线的形成过程是工件绕 B 轴的旋转和绕 A 轴的旋转及沿 Y 轴和 Z 轴的移动来形成的,因此,需四轴联动才能完成此凸轮的加工。

图 5

  根据图 6 要求进行分析:

图 6

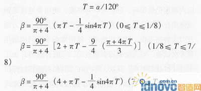
  由图 6 要求可知,凸轮上升、下降曲线为修正正弦加速度曲线,其方程式为:

  从以上关系式即可确定 α 与 β 之间的对应关系。根据 β 角从加工示意图中可看出,能够确定 M 点的运动轨迹,从而得到刀尖的运动轨迹,即:求出刀尖加工点的 Y 、 Z 坐标值。最终完成凸轮的加工。

  从加工示意图中可看出:

  刀尖运动轨迹坐标:

(3) 根据分析结果编制 BASIC 程序 BASIC 程序清单略。

(4) 生成 NC 代码从 BASIC 程序清单可看出生成 WJP1111.TXT 、 WJP2222.TXT 、 WJP3333.TXT 三个文本文件,此三个文件即为加工凸轮的 NC 程序 (NC 程序清单内容略 ) 。

(5) 将 NC 程序输入机床通过机床面板或传输设备将 NC 程序输入机床。

(6) 完成加工 5.

 




本页面的新闻和资讯的版权归 http://www.siyinji168.cn 深圳凸轮加工厂所以。不得随意转载。主要的内容包括:深圳凸轮加工,深圳加工凸轮,深圳凸轮加工厂,深圳机械凸轮,电脑凸轮加工,深圳凸轮!
首   页       公司简介       产品展示       公司设备       客户留言       联系方式